
貝克曼庫爾特商貿(中國)有限公司
白金會員
已認證

貝克曼庫爾特商貿(中國)有限公司
白金會員
已認證
胰腺癌,尤其是導管腺癌,是惡性程度較高的腫瘤之一,5 年生存率僅 9%。提高胰腺癌的診療水平,改善預后是急需解決的重要臨床問題。
現有數據表明,PD-1/CTLA-4抑制劑可以阻斷腫瘤對T 細胞的抑制,在胰腺癌方面,也有多個初步臨床數據證實PD-1與新輔助化療聯合應用,能顯著延長患者的無進展生存和總生存。
可見,免疫系統在腫瘤發生發展和治療中是非常重要的,改善患者的免疫功能狀態,可能有助于提高治療療效。那么,有必要對患者治療過程中免疫功能的改變進行監測嗎?讓我們一起在下面這個病例中一探究竟:
------------
肖某,男,60 歲,因腰背部疼痛 2 月余就診。
入院檢查:
外周血 CA199 > 1200 U/mL,胰腺增強動脈造影示胰腺癌。2019 年 5 月 24 日超聲內鏡引導下的細針穿刺(EUS-FNA)診斷胰腺癌。
既往病史:
高血壓病史,控制良好,無心腦血管病史,無糖尿病史。10 年前因膽囊結石伴慢性膽囊炎行腹腔鏡下膽囊切除術,因甲狀腺瘤行腔鏡下甲狀腺瘤切除術。
吸煙 20 年 × 20 支,未戒煙,少量飲酒。入組新輔助化療后手術組。
治療經過:
- 2019 年 6 月 4 日起,行 S1(替吉奧)+ 白蛋白紫杉醇化療 8 個周期;
- 2019 年 9 月 6 日,開始射波刀 6 次放療,合計照射劑量 40.8 Gy;
- 2019 年 9 月 24 日,全麻下行開腹胰體癌根治手術、左腎上腺切除術和腹膜后淋巴結清掃術,術后病理診斷胰腺導管癌。
診斷初期先進行了新輔助化療,完成化療周期及射波刀治療之后,血清腫瘤標志物均降至正常,MRI 提示腫瘤顯著縮小,提示放化療對患者治療效果顯著。
輔助檢查:
1、胰腺磁共振

2、腫瘤標志物檢測
在患者化療前、化療及射波刀治療后及外科手術前 1 天、手術后三月余進行腫瘤標志物檢測,結果如下:

3、免疫功能參數檢測
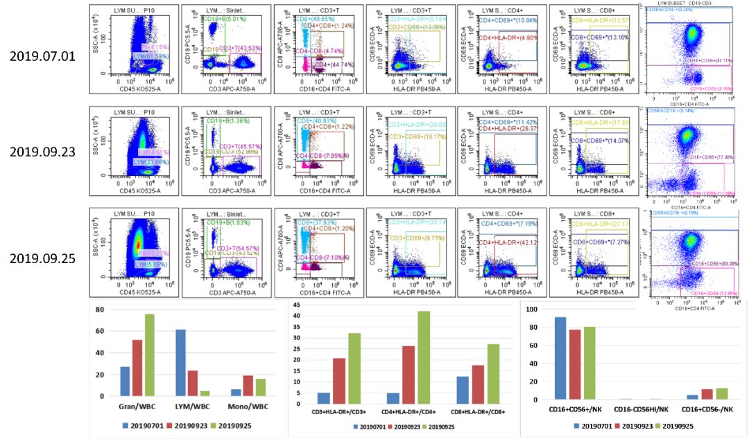
在患者啟動化療初期、放化療完成后手術前 1 天和手術 1 天后,采用十三色流式細胞儀(DxFlex,Beckman coulter)進行了三次免疫評估,擬觀察患者系統免疫參數變化及其與其他腫瘤參數的關系。部分參數指標變化如下:
(1)治療好轉后,患者淋巴細胞比例顯著下調,粒細胞顯著回升,單核細胞比例顯著增加;
(2)治療好轉后 NK 細胞中 CD16+CD56- 比例顯著上升,CD16+CD56dim 較為明顯下降;
(3)治療好轉后,B 細胞占淋巴細胞比例、mDC 細胞比例顯著下調。

(4)治療好轉后,中樞記憶 CD4+T 占 CD4+T 細胞比例呈現較為明顯的下調趨勢,效應記憶 CD4+T 和 CD8+T 細胞比例呈現較為明顯的上升趨勢。
(5)治療好轉后,部分 T 細胞表面活化標志 HLA-DR 和 CD38 在 CD3+T 細胞以及 CD4+ 和 CD8+T 細胞······
其他參數表現情況如何?這些免疫參數改變是否具有胰腺腫瘤療效相關的特異性?是否反映免疫系統參與了放化療取得臨床療效的過程?
完整病例分析,可掃描下方二維碼查看,與更多同行一起交流討論~

病例來源:
上海長海醫院血液內科 唐古生
上海長海醫院肝膽胰脾外科 金鋼
專家簡介:

唐古生
- 男,醫學博士,副主任醫師、副教授,碩士生導師;
- 上海長海醫院血液內科主任助理,血液病臨床實驗室主任;
- 負責血液病流式免疫分型、惡性血液病疑難病例 MICM 綜合診斷、急慢性白血病精確診斷和分型;
- CAR-T、造血干細胞移植等細胞治療技術保障。
主攻方向:
- 骨髓增殖性腫瘤專病診斷和治療、血液病流式細胞檢測;
- 負責血液病專病臨床形態學、免疫學、分子生物、細胞遺傳學綜合診斷實驗。
榮譽經歷:
- 主持國家自然基金等 7 項課題,以第 1 或通訊發表 SCI 論文 17 篇,核心 30 余篇;
- 曾獲上海市優秀博士論文、上海市科學技術一等獎、個人三等功、集體三等功等榮譽。
------
點擊「閱讀原文」,學習更多臨床病例、大咖課程!我們將從注冊用戶中,隨機選取 30 位,送上「鼠」于你的精美公仔:

責任編輯:杭璐
閱讀原文
最新動態
更多